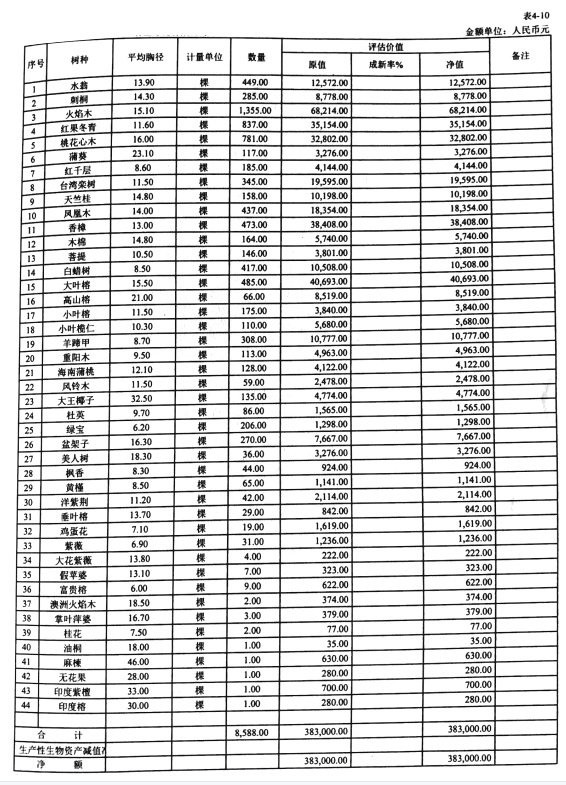
受委托定于2022年6月8日上午9时30分,在中拍平台(网址:http://paimai.caa123.org.cn)公开拍卖:苗木一批,起拍价38.3万元、保证金8万元,



缴交保证金及报名截止时间:2022年6月7日下午5点 即日起预约看样
报名地点:厦门市湖滨北路108号振业大厦18楼
垂询热线: 0592-5055607 2277055
公司网址:www.xmtp.com.cn
微信公众号:厦门特拍

2022-05-31 09:24 994次点击
受委托定于2022年6月8日上午9时30分,在中拍平台(网址:http://paimai.caa123.org.cn)公开拍卖:苗木一批,起拍价38.3万元、保证金8万元,



缴交保证金及报名截止时间:2022年6月7日下午5点 即日起预约看样
报名地点:厦门市湖滨北路108号振业大厦18楼
垂询热线: 0592-5055607 2277055
公司网址:www.xmtp.com.cn
微信公众号:厦门特拍
